Hoppa till huvudinnehåll

Tungmetaller

Av de tungmetaller som ackumuleras på toppen av näringsväven har särskilt kvicksilver, bly och kadmium länge varit ett bekymmer i Östersjön. För närvarande är koncentrationerna av alla dessa tungmetaller i fisk på en god nivå i det finska havsområdet. Däremot överskrids kopparhalten i bottensediment i alla finska havsområden.
Bild
Industrianläggning på stranden.
Stränga gränser har satts för utsläpp av tungmetaller från industrin och halterna av många tungmetaller i havsvatten har faktiskt minskat. © Riku Lumiaro

Tungmetaller hamnar i havet huvudsakligen från industrin och därför är utsläppsmängderna rätt väl kända och man har kunnat begränsa dem. Dessutom hamnar tungmetaller i havet från samhällenas avloppsvatten och som luftburet nedfall.

Tungmetaller är i höga koncentrationer giftiga för havsdjur och de ackumuleras i arter längst upp i näringskedjan. Koncentrationer av kvicksilver, kadmium, bly, koppar och zink övervakas i finska havsområden. Av tungmetaller har kvicksilverhalterna orsakat den största oron i Östersjön, i södra Östersjön även kadmium och bly.

Kvicksilverhalterna är på en bra nivå

Kvicksilverhalter uppmätta i kustens abborrar ligger nära det tröskelvärdet som under bedömningsperioden definierats för god status. Medelvärdena uppmätta i olika havsområden ligger under tröskelvärdet, så att havet har god status vad gäller kvicksilver. Även i öppna havsområden är kvicksilverhalterna i strömming lägre än tröskelvärdet. Tröskelvärdet tar hänsyn till den naturliga bakgrundskoncentrationen av kvicksilver, som definierats vara densamma i alla kustvatten. Om man inte tar hänsyn till bakgrundskoncentrationen skulle alla resultat från kustvattnet överstiga tröskelvärdet.

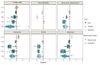
Bild
Tungmetallkoncentrationer beskrivna med prickar och färger. Innehållet förklaras i bildtexten.
Sedimentets kopparhalt (Cu), koncentrationer av kadmium (Kd), kvicksilver (Hg), bly (Pb) i fisk samt nickel (Ni) i ytvatten i olika havsområden. Den röda streckade linjen beskriver tröskelvärdet för god status. När proportionsvärdet ligger till vänster om tröskelvärdet är statusen god. Endast kopparhalterna i sedimentet överskrids regelbundet, dvs. läget är bra för andra tungmetaller. © Finlands miljöcentral

Sedan 2000 har kvicksilverhalterna i strömming i Bottenvikens öppna havsområde visat tecken på ökning, men fortfarande legat långt under tröskelvärdet. I andra havsområden har kvicksilverhalterna i strömming inte förändrats. Trenden är okänd i Kvarken och otydlig för abborren i kustområdena.

Halter av många tungmetaller har minskat, kopparhalterna är för höga

Medelkoncentration av kadmium och bly ligger under det för dem uppsatta tröskelvärdet i alla havsområden, det vill säga statusen bedöms som god. Enskilda lokala överskridanden av tröskelvärdet har dock mätts för båda tungmetallerna i Bottenvikens kustvatten och för bly även i Finska vikens kustvatten.

Kadmiumhalterna i strömming har ökat i Norra Östersjön och Finska viken samt i abborre i Kvarken, Finska viken och i området Ålands hav-Skärgårdshavet. Blyhalterna har minskat särskilt i Bottniska viken och i området Ålands hav-Skärgårdshavet.

Koncentrationen av nickel i havsvatten har hållits nästan oförändrad och ligger under tröskelvärdet i alla havsområden, även om enskilda lokala överskridningar av tröskelvärdet har mätts i området Ålands hav-Skärgårdshavet, Kvarken, Bottenviken, Bottenhavet och Finska viken. Däremot överstiger koncentrationen av koppar tröskelvärdet i bottensedimenten på alla mätstationer i finska havsområden.

Utgivare

Finlands miljöcentral (Syke)