Hoppa till huvudinnehåll
Ymparisto.fi – Startsida

Miljöförvaltningens webbtjänst

Status för breda livsmiljöer i den bentiska zonen

Status förde breda bentiska livsmiljötyperna bedöms genom fysisk förlust och havsbottenstörningar. I en stor del av havsområdena försvagar övergödningen tillståndet för infralitorala livsmiljöer. Vissa cirkalitorala livsmiljöer lider av syrefria förhållanden. Livsmiljöerna i bränningszonen var i gott tillstånd, med undantag för Finska viken.
Bild
Grön, ljus och rödaktig luddliknande beläggning.
En del av bottnarna i Finska viken och Kvarken lider av syrebrist. Den vita bakteriebeläggningen på bottnarna indikerar syrebrist. © Mats Westerbom

Tillståndet för de breda livsmiljötyperna bedömdes med indikatorer på fysisk förlust, skadlig störning och ostörda områden. Fysisk förlust beskriver hur stor del av havsbottens breda livsmiljötyper förstörts i varje havsområde. Skadliga störningar inkluderar potentiella skador på livsmiljöer per havsområde orsakade av fysisk mänsklig aktivitet, övergödning och förorenade sediment. Varje marint område måste ha områden av alla breda livsmiljötyper vilka inte alls påverkas av fysisk mänsklig aktivitet.

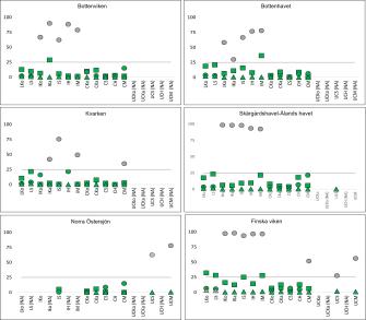
Bild
Sex grafer som visar variationen av variabler som beskriver statusen för havsbottnarnas breda livsmiljötyper i olika havsområden. När det gäller skadade och förlorade livsmiljöer har alla god status och endast andelen livsmiljöer som lider av fysiska störningar överskrids i alla havsområden. I Finska viken är andelen livsmiljöer som lider av fysiska störningar störst.
Statusen för breda livsmiljötyper Finska havsområden. Trianglar visar andelen förlorade livsmiljöer (god status under 2 %), klot andelen skadliga effekter som orsakar skadliga störningar (god status under 25 %) och kvadrater den totala fysiska störningens andel av arealen (god status under 90 %). Symbolfärger för god (grönt) eller svag status (grå). Den gråa horisontella linjen visar tröskeln för 25 % skadlig störning (klot). Inga andra tröskelvärden presenteras eftersom endast den skadliga störningsindikatorn indikerar svag status. De litorala livsmiljöerna i Finska viken har svag status, men bedömningen är behäftad med osäkerhet. © Finlands miljöcentral

De flesta infralitorala livsmiljöerna är i dåligt tillstånd eftersom siktdjupet minskat på grund av övergödning. I Kvarken är infralitoralens hårda bottnar och sandbottnar i gott tillstånd, eftersom vattenvegetationen i området bedöms ha god status. 

Cirkalitorala livsmiljöer har nästan alla god status, med undantag för lerbottnarna i Kvarken och Finska viken, där syrefria områden förekommer och bottendjuren är i ett dåligt tillstånd. Bland- och lerbottnarna i öppna havets cirkalitorala zoner i Finska viken och norra Östersjön är i dåligt tillstånd på grund av syrebrist och förorenade sediment; i andra områden är djupbottnarna i gott tillstånd.

Bild
En svartvit taggig fisk på musselbotten.
Circalitoralen är en mörk zon där mestadels bottendjur, fiskar och blötdjur lever. © Mats Westerbom ja Annica Långnabba, Metsähallitus

Tillståndet för litoral- och bränningszonen bedömdes för första gången i denna rapport. Bedömningen beräknade hur stor del av livsmiljöernas areal i zonen förlorats eller skadats på grund av byggande, bosättning eller av andra mänskliga aktiviteter. Bedömningen innehåller osäkerheter på grund av brister i habitatkarteringsmetoden och det biologiska miljömaterialet. Bränningszonens livsmiljöer bedömdes i övrigt vara i gott tillstånd, men i Finska viken översteg livsmiljöns förlust troligen tröskelvärdet.

Ytterligare information om indikatorer för breda livsmiljöer på havsbotten finns i informationsbladet:

Informationsblad om indikatorer för breda livsmiljöer på havsbotten 2024 (på finska) (pdf, 2 MB)

Utgivare

Finlands miljöcentral (Syke)