Siirry sisältöön
Ymparisto.fi – Etusivu

Ympäristöhallinnon verkkopalvelu

Merenpohjan laajojen elinympäristöjen tila

Merenpohjan laajojen elinympäristöjen tilaa arvioidaan fyysisen menetyksen ja merenpohjan häiriöiden kautta. Suurella osalla merialueista rehevöityminen heikentää infralitoraalin elinympäristöjen tilaa. Circalitoraalin elinympäristöistä osa kärsii hapettomista olosuhteista. Tyrskyvyöhykkeen elinympäristöt olivat hyvässä tilassa Suomenlahtea lukuun ottamatta.
Kuva
Vihertävä, vaalea ja punertava nukkamainen peite.
Osa Suomenlahden ja Merenkurkun pohjista kärsii hapen puutteesta. Hapettomuudesta kertoo pohjia peittävä valkoinen bakteerikasvusto. © Mats Westerbom

Laajojen elinympäristöjen tila arvioitiin fyysisen menetyksen, vahingollisen häiriön ja häiriöttömien alueiden indikaattoreiden avulla. Fyysinen menetys kuvaa kuinka iso osa merenpohjan laajoista elinympäristöistä on tuhoutunut kullakin merialueella. Vahingollinen häiriö sisältää fyysisen ihmistoiminnan, rehevöitymisen ja saastuneiden sedimenttien aiheuttamien potentiaalisen elinympäristöjä vahingoittavan alueen per merialue. Jokaisella merialueella tulee olla kaikilla laajoilla elinympäristöillä alueita, joihin ei kohdistu lainkaan fyysisen ihmistoiminnan häiriötä.  

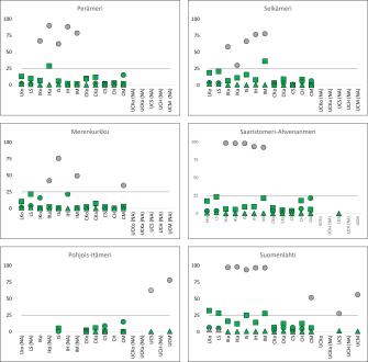
Kuva
kuusi graafia, jotka näyttävät merenpohjan laajojen elinympäristöjen tilaa kuvaavien muuttujien vaihtelua eri merialueilla. Vahingollisten ja menetettyjen elinympäristöjen osalta kaikki elinympäristöt ovat hyvässä tilassa ja ainoastaan fyysisestä häiriöistä kärsivien elinympäristöjen osuus ylittyy kaikilla merialueilla. Suomenlahdella fyysisistä häiriöistä kärsivien elinympäristöjen osuus on suurin.
Laajojen elinympäristöjen tila Suomen merialueillat. Kolmiot kuvaavat menetettyjen elinympäristöjen osuutta (hyvässä tilassa alle 2%), ympyrät osuutta, jolla on haitallisia vaikutuksia aiheuttavia vahingollisia häiriöitä (hyvässä tilassa alle 25%) ja neliöt kaikkien fyysisten häiriöiden osuutta pinta-alasta (hyvässä tilassa alle 90%). Symbolien värit hyvää (vihreä) tai heikkoa tilaa (harmaa). Harmaa vaakaviiva kuvaa vahingollisen häiriön (ympyrät) 25 % -kynnysarvoa. Muita kynnysarvoja ei esitetä, koska vain vahingollisen häiriön indikaattori osoittaa heikkoa tilaa. Suomenlahden litoraalin elinympäristöt ovat heikossa tilassa, mutta arvioon liittyy epävarmuutta. © Suomen ympäristökeskus

Suurin osa infralitoraalin elinympäristöistä on heikossa tilassa rehevöitymisen heikentämän näkösyvyyden vuoksi. Merenkurkussa infralitoraalin kovat pohjat ja hiekkapohjat ovat kuitenkin hyvässä tilassa, sillä alueen vesikasvillisuuden on arvioitu olevan hyvässä tilassa. 

Circalitoraalin elinympäristöt ovat lähes kaikki hyvässä tilassa, lukuun ottamatta Merenkurkun ja Suomenlahden mutapohjia, joissa esiintyy hapettomia alueita ja pohjaeläimet ovat heikossa tilassa. Ulkomeren circalitoraalin seka- ja mutapohjat Suomenlahdella ja Pohjois-Itämerellä ovat heikossa tilassa hapettomuuden ja saastuneiden sedimenttien takia; muilla alueilla syvät pohjat ovat hyvässä tilassa.

Kuva
Mustavalkoinen rosoinen kala simpukkapohjalla.
Circalitoraali on valoton vyöhyke, jossa elää lähinnä pohaeläimiä, kaloja ja nilviäisiä, kuten simppuja. © Mats Westerbom ja Annica Långnabba, Metsähallitus

Litoraali- eli tyrskyvyöhykkeen tila arvioitiin ensimmäistä kertaa tässä raportissa. Arviossa laskettiin, kuinka suuri osa vyöhykkeen elinympäristöjen pinta-alasta on menetetty tai vahingollisesti häiriintynyttä rakentamisen, asutuksen tai muun ihmistoiminnan takia. Arvioon liittyy epävarmuuksia johtuen tämän elinympäristön kartoitusmenetelmän ja biologisten ympäristöaineistojen puutteista. Tyrskyvyöhykkeen elinympäristöt arviotiin muuten hyvään tilaan, mutta Suomenlahdella elinympäristön menetys ylitti todennäköisesti kynnysarvon. 

Lisätietoja merenpohjan laajojen elinympäristöjen indikaattoreista löytyy tietolehtisestä:

Merenpohjan laajojen elinympäristöjen indikaattoritietolehtinen 2024 (pdf, 2 Mt)

Julkaisija

Suomen ympäristökeskus (Syke)